Быстрота в боксе
вернуться

Клевенко Владимир Михайлович

Шрифт:

И чем больше этот радиус вращения и момент инерции, тем больше линейная скорость

ударной перчатки, двигающейся по кривой или окружности.

Рассмотрим это опять на примере вращения туловища боксера вокруг вертикальной

оси в момент нанесения удара (случай вращения тела вокруг вертикальной оси, проходящей

через середину туловища) (см. рис. 11,14).

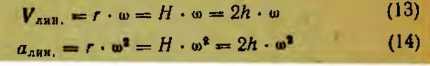
Как мы уже отмечали, линейная скорость конечной точки В или части тела при

вращении вокруг вертикальной оси в точке О равна радиусу вращения, умноженному на

угловую скорость вращения

где h – ширина плечевого пояса боксёра.

Линейное ускорение в этом случае будет равно:

Посмотрим, как изменятся эти показатели при той же угловой скорости вращения.

Если ось вращения туловища вокруг вертикальной оси перенести из точки О в 01, то

практически ударное движение будет строиться не вокруг центральной, а вокруг боковой

оси, проходящей через правое плечо (точка 01) и правую опорную ногу боксера (см. рис. 14).

В этом случае радиус вращения увеличится в два раза; был равен

теперь стал равен

.

Если скорость вращения тела боксера вокруг вертикальной оси (т. е. угловая скорость)

останется прежней то линейная скорость и ускорение точки В могут быть практически в два

раза больше:

Причем условная точка В — это перчатка или плечо ударной руки боксера в

рассматриваемом случае, а расстояние Н равно расстоянию от перчатки до оси вращения

туловища, обычно проходящей через опорно-толчковую ногу.

Поэтому эффективное ударное движение целесообразно строить без особого

увеличения мышечных усилий, используя метод увеличения радиуса вращения путем по-

стоянного смещения вертикальной оси вращения туловища на противоположную сторону

тела и опорную ногу (см. рис. 15).

Разумеется, что все эти выводы не должны пониматься догматично. Каждый боксер

строит свою технику с учетом своих индивидуальных особенностей. Однако крайне

желательно, чтобы эти отмеченные закономерности активно использовались боксером,

особенно при совершенствовании основных («коронных») ударов. От этого эффект удара

будет положительным, так как увеличиваются линейная скорость ударной перчатки (кулака),

момент инерции, кинетическая энергия, а следовательно, ударная сила в целом.

Но главное — это увеличение линейной скорости удара. Однако здесь мы встречаемся

еще с одной трудностью— рациональным сочетанием радиуса вращения и дистанции удара

(ближняя, средняя, дальняя). Рассмотрим это на примере прямого удара правой —наиболее

сложном в техническом выполнении и эффективным по результативности.

Каждый боксер по-своему, индивидуально, нашел эмпирическим путем и отработал в

совершенстве наиболее выгодную для него двигательную структуру этого основного удара в

боксе и дистанцию, на которой этот удар наиболее часто применяется и дает наивысший эф-

фект.

У одних боксеров правая рука (перчатка) в исходном положении находится у

подбородка, т. е. на средней линии туловища (Г. Шатков, Б. Степанов, О. Григорьев), у других

в крайнем правом положении у правого плеча; в «рубящем» ударе (из практики

профессионального бокса), правая рука отведена вправо от плеча для создания большего

радиуса вращения. У большинства же боксеров положение (позиция) правой перчатки все

время меняется.

Нас интересуют наиболее рациональные сочетания величины радиуса вращения (т. е.

расстояния от бьющей перчатки до вертикальной оси вращения туловища) и дистанции удара

(ближняя, средняя, дальняя), создающие максимальную скорость в конечной фазе удара на

цели. Метод графической циклограммометрии позволил достаточно точно выявить общие

закономерности построения ударного движения боксера и помог правильнее оценить

эффективность удара в различных вариантах.

В качестве объекта исследования был взят основной и наиболее эффективный в боксе

прямой удар правой. За исходные данные были взяты: ширина плеч боксера — 46,8 см, длина

  • Читать дальше
  • 1
  • ...
  • 24
  • 25
  • 26
  • 27
  • 28
  • 29
  • 30
  • 31
  • 32
  • 33
  • 34
  • ...

Private-Bookers - русскоязычная библиотека для чтения онлайн. Здесь удобно открывать книги с телефона и ПК, возвращаться к сохраненной странице и держать любимые произведения под рукой. Материалы добавляются пользователями; если считаете, что ваши права нарушены, воспользуйтесь формой обратной связи.

Полезные ссылки

  • Моя полка

Контакты

  • help@private-bookers.win